Beranda · Matematika SMP · Matematika SMA · Fisika SMP · Fisika SMA · Kimia SMP · Kimia SMA ·

Cara Merasionalkan Pecahan Bentuk Akar


Pada postingan sebelumnya, Mafia Online telah mengulas tentang bilangan rasional. Masih ingatkah Anda dengan pengertian bilangan rasional? Lawan dari bilangan rasional adalah bilangan irasional. Bilangan irasional adalah bilangan yang tidak dapat dinyatakan dalam bentuk a/b dengan a, b bilangan bulat dan b ≠ 0. Masih ingatkah Anda contoh bilangan irasional?

Contoh bilangan irasional adalah bentuk akar, misalnya √5, √7, √11, dan √13. Pecahan bentuk akar juga termasuk bilangan irasional, misalnya 1/√5, 3/√7, 4/√11, dan 2/√13. Penyebut yang berbentuk akar dari pecahan tersebut dapat diubah menjadi bilangan rasional. Cara merasionalkan setiap penyebut berlainan. Akan tetapi, prinsip dasarnya sama, yaitu mengalikan penyebut-penyebut tersebut dengan pasangan bentuk akar sekawannya sehingga diperoleh penyebut bilangan rasional. 

Cara Merasionalkan Pecahan Bentuk Akar
Untuk lebih jelasnya, pelajari uraian berikut.

Merasionalkan Bentuk a/√b
Cara merasionalkan bentuk a/√b adalah dengan mengalikan pembilang dan penyebut pecahan tersebut dengan bentuk sekawan dari penyebutnya, yaitu:
Untuk memantapkan pemahaman Anda tentang cara merasionalkan bentuk a/√b, silahkan simak contoh soal 1 di bawah ini.

Contoh Soal 1
Rasionalkan penyebut pecahan-pecahan berikut, kemudian sederhanakanlah
a. 6/√2
b. 10/√5
c. 21/√3
d. 5/√5

Penyelesaian:
a.   6/√2 = (6/√2).√2/√2
=> 6/√2 = (6√2)/(√2.√2)
=> 6/√2 = (6√2)/2
=> 6/√2 = 3√2

b.   10/√5 = (10/√5).(√5/√5)
=> 10/√5 = (10√5)/(√5.√5)
=> 10/√5 = (10√5)/5
=> 10/√5 = 2√5

c.   21/√3 = (21/√3).(√3/√3)
=> 21/√3 = (21√3)/(√3.√3)
=> 21/√3 = (21√3)/3
=> 21/√3 = 7√3)

d.   5/√5 = (5/√5).(√5/√5)
=> 5/√5 = (5√5)/(√5.√5)
=> 5/√5 = (5√5)/5
=> 5/√5 = √5

Merasionalkan Bentuk a/(b±√c)
Cara merasionalkan bentuk a/(b±√c) adalah dengan mengalikan pembilang dan penyebut pecahan tersebut dengan bentuk sekawan dari penyebut b±√c. Bentuk sekawan dari b + √c adalah b – √c , sedangkan bentuk sekawan dari b – √c adalah b + √c. Berikut penjelasanya masing-masing. Untuk merasionalkan bentuk a/(b+√c), yakni:

Untuk merasionalkan bentuk a/(b – √c), yakni:
Untuk memantapkan pemahaman Anda tentang cara merasionalkan bentuk a/(b±√c), silahkan simak contoh soal 2 di bawah ini.

Contoh Soal 2
Rasionalkan penyebut pecahan-pecahan berikut, kemudian sederhanakanlah
a. 4/(2 + √2)
b. 3/(3 – √5)
c. 4/(4 + √3)
d. 2/(3 – √7)

Penyelesaian:
a.   4/(2 + √2)
= {4/(2 + √2)}.{(2 – √2)/(2 – √2)}
= {4(2 – √2)}/{2 + √2).(2 – √2)}
= (8 – 4√2)/(4 – 2)
= (8 – 4√2)/2
= 4 – 2√2

b.   2/(2 – √3) = {2/(2 – √3)}.{(2 + √3)/(2 + √3)}
= {2(2 + √3)}/{(2 – √3).(2 + √3)}
= (4 + 2√3)/(4 – 3)
= 4 + 2√3

c.   4/(2 + √5) = {4/(2 + √5)}.{(2 – √5)/(2 – √5)}
= {4(2 – √5)}/{(2 + √5).(2 – √5)}
= 8 – 4√5)/(4 – 5)
= 8 – 4√5)/– 1
= 4√5 – 8

d.   4/(3 – √5) = {4/(3 – √5)}.{(3 + √5)/(3 + √5)}
= {4.(3 + √5)}/{(3 + √5)(3 – √5)}
= (12 + 4√5)/(9 – 5)
= (12 + 4√5)/4
= 3 + √5

Merasionalkan Bentuk a/(√b±√c)
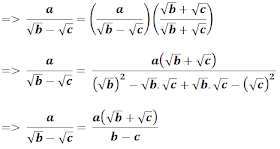
Cara merasionalkan bentuk a/(√b±√c) adalah dengan mengalikan pembilang dan penyebut pecahan tersebut dengan bentuk sekawan dari penyebut √b±√c. Bentuk sekawan dari √b + √c adalah √b – √c , sedangkan bentuk sekawan dari √b – √c adalah √b + √c. Berikut penjelasanya masing-masing. Untuk merasionalkan bentuk a/(√b+√c), yakni:

Untuk merasionalkan bentuk a/(√b – √c), yakni:
 

Untuk memantapkan pemahaman Anda tentang cara merasionalkan bentuk a/(√b±√c), silahkan simak contoh soal 3 di bawah ini.

Contoh Soal 3
Rasionalkan penyebut pecahan-pecahan berikut, kemudian sederhanakanlah
a. 2/(√3 + √2)
b. 3/(√6 – √5)
c. 5/(√5 + √3)
d. 4/(√11 – √7)

Penyelesaian:
a.   2/(√3 + √2)
= {2/(√3 + √2)}.{(√3 – √2)/(√3 – √2)}
= {2.(√3 – √2)}/{(√3 – √2).(√3 + √2)}
= (2√3 – 2√2)/(3 – 2)
= 2(√3 – √2)

b. 3/(√6 – √5)
= {3/(√6 – √5)}.{(√6 + √5)/(√6 + √5)
= {3(√6 + √5)}/{(√6 – √5)(√6 + √5)
= 3(√6 + √5)/(6 – 5)
= 3(√6 + √5)

c. 4/(√5 + √3)
= {4/(√5 + √3)}.{(√5 – √3)/(√5 – √3)}
= {4(√5 – √3)}/{(√5 + √3).(√5 – √3)}
= 4(√5 – √3)/(5 – 3)
= 4(√5 – √3)/2
= 2(√5 – √3)

d. 4/(√11 – √7)
= {4/(√11 – √7)}.{(√11 + √7)/(√11 + √7)
= {4(√11 + √7)}/{(√11 – √7)(√11 + √7)
= 4(√11 + √7)/(11 – 7)
= 4(√11 + √7)/4
= √11 + √7

Demikian postingan Mafia Online tentang cara merasionalkan bentuk akar. Mohon maaf jika ada kata atau perhitungan yang salah dalam postingan di atas.

3 Responses to "Cara Merasionalkan Pecahan Bentuk Akar "

  1. terima kasih...sangat membantu ku dalam memahami konsep soal K13...~

    BalasHapus
  2. terimakasih sekali sangat membantu apalagi dengan contoh soal yg banyak dan penjelasan yg jelas terimakasih sekali

    BalasHapus
  3. Terimakasih penjelasannya mudah dipahami sangat bermanfaat

    BalasHapus

Terima kasih sudah membaca blog ini, silahkan tinggalkan komentar dengan sopan dan tidak mengandung unsur SARA atau pornografi serta tidak ada link aktif. Mohon maaf kalau komentarnya dibalas agak lambat. Kolom komentar ini kami moderasi, jadi kalau ada komentar yang tidak sesuai dengan ketentuan tidak akan dipublikasikan.